Cite This Work
- APA
- MLA
- Bibtex
Christov-Moore, L., Schoeller, F., Von Guttenberg, M., Durinski, T., Jain, F. A., Iacoboni, M., & Reggente, N. Using Chills-Inducing Music to Augment Self-Transcendence, Emotional Breakthrough, and Psychological Insight During Mindfulness and Loving Kindness Meditation. Frontiers in Psychology, 17, 1589132.
Christov-Moore, Leonardo, et al. “Using Chills-Inducing Music to Augment Self-Transcendence, Emotional Breakthrough, and Psychological Insight During Mindfulness and Loving Kindness Meditation.” Frontiers in Psychology 17: 1589132.
@article{christov17using,
title={Using Chills-Inducing Music to Augment Self-Transcendence, Emotional Breakthrough, and Psychological Insight During Mindfulness and Loving Kindness Meditation},
author={Christov-Moore, Leonardo and Schoeller, Felix and Von Guttenberg, Mathilda and Durinski, Tiffany and Jain, Felipe A and Iacoboni, Marco and Reggente, Nicco},
journal={Frontiers in Psychology},
volume={17},
pages={1589132},
publisher={Frontiers}
}
We just published research showing that chills-inducing music can reliably amplify the transformative power of meditation—and it works even if you’ve never meditated before.
This post explains why we ran the study, what we found, and how you can try the same meditation yourself—in about 10 minutes of reading.
TL;DR
- Chills-inducing music during meditation increases self-transcendence, insight, and emotional breakthrough
- The effect depends on actually experiencing chills, not just hearing music
- The meditation itself remains intact; music amplifies rather than replaces it
- This works even for people without extensive meditation experience
State Engineering and Technodelics
At the Institute for Advanced Consciousness Studies, we’re in the business of state and trait engineering—by which we mean the careful, ethical design of experiences that reliably produce beneficial psychological states. We’re especially interested in helping people access positive, even transformative non-ordinary states: the kinds of self-transcendent experiences that promote lasting changes toward greater connectedness, reduced ego fixation, and increased compassion.
While this is an obviously worthwhile aim, it’s not always easy to achieve.
Two of the most reliable pathways to persistent changes in ego dissolution, connectedness, and motivation toward virtuous action are psychedelics and meditation.
Psychedelics, to be frank, are not for everyone. Their therapeutic and scientific value is becoming clearer, thanks to organizations like University College London (UCL), the Qualia Research Institute, and Sensoria. Protocols are now being developed to harness altered states for specific outcomes like insight and creativity—work being done at places such as Massachusetts General Hospital, the Center for MINDS, and the META Lab at UC Santa Barbara. Despite these advances, legal constraints, medical risks, and psychiatric contraindications remain real barriers for many people.
Advanced meditation avoids many of those issues, but presents others. Achieving deeply transformative states often requires sustained attention, consistent practice, and experienced guidance—resources that many people simply don’t have.
We don’t want to hand people a pill that instantly produces transcendence—we don’t think that leads to the most durable change. But we do believe that in an era with fewer shared initiatory rituals, weakening institutions, and increasing religious pluralism, it’s important to develop accessible, secular, psychologically safe ways of reaching states that reliably produce meaning, insight, and compassion.
Our goal is to make those states easier to reach—without removing the personal work that makes them transformative.
Toward that end, we’ve been testing several promising approaches:
Stroboscopic stimulation
We’ve shown that carefully tuned visual stimulation can entrain brain states and increase neural complexity in ways that resemble advanced meditation and psychedelic states.
Aesthetic chills
We pioneered the empirical study and application of aesthetic chills—the pleasurable goosebumps elicited by powerful art and music. Our E4 project (Emulating Entheogens to Enhance Empathy) demonstrated that chills can replicate core aspects of mystical experience without drugs, with efficacy rates of roughly 70–90%.
Enhanced meditative states
We’ve characterized and deepened meditation-induced states using tools like neurofeedback and ultrasound, across practices including Vipassana and loving-kindness meditation.
These components have mostly been studied in isolation. Our current trajectory is to combine them and test whether they produce synergistic effects.
Eventually—over the next few years—we aim to develop integrated experiences that include:
- Haptic-augmented Vipassana practices
- Stroboscopic and binaural stimulation to support neural entrainment and complexity
- Aesthetic chills to engender neural complexity and self-transcendence, and deepen meaning-making and insight generation.
- Individually-tailored narrations designed to target maladaptive beliefs or reinforce stabilizing, prosocial ones.
In a study published February 3, 2026 in Frontiers in Psychology, we tested whether a validated loving-kindness meditation could be augmented—entirely nonverbally—using chills-eliciting music, without disrupting the meditation’s intended effects.
What We Developed
We created a custom loving-kindness meditation drawing from:
- Sharon Salzberg’s metta framework
- Pema Chödrön’s loving-kindness and Tonglen practices
- Goenka-style Vipassana body scanning
- Standard mindfulness of breath and present-moment awareness
A pilot study showed this meditation reliably increased ego dissolution, connectedness to others, calm, and mood relative to control conditions.
Separately, we developed and validated ChillsDB 2.0, a large database of music shown to robustly elicit chills and increase self-transcendence, prosocial motivation, generosity, and neural complexity—effects comparable to those seen in advanced meditation and psychedelic states.
The Experiment
We paired carefully selected chills-inducing music with (1) the loving-kindness meditation and (2) A length-matched mindfulness meditation (as a control).
Each was also tested without music. We then compared outcomes across these 2×2 conditions.
We recruited 398 participants online (approximately 100 per condition), spanning a wide range of meditation experience (mean ≈ 3.3 on a 7-point scale). Immersion and completion rates were high, particularly in the music-augmented conditions.
Chills augmentation increased the likelihood of experiencing chills from 18–21% to 31–35%, and these chills predicted robust downstream increases in self-transcendence, emotional breakthrough, and psychological insight—without disrupting each meditation’s intended effects.
Meditation-specific effects were preserved.
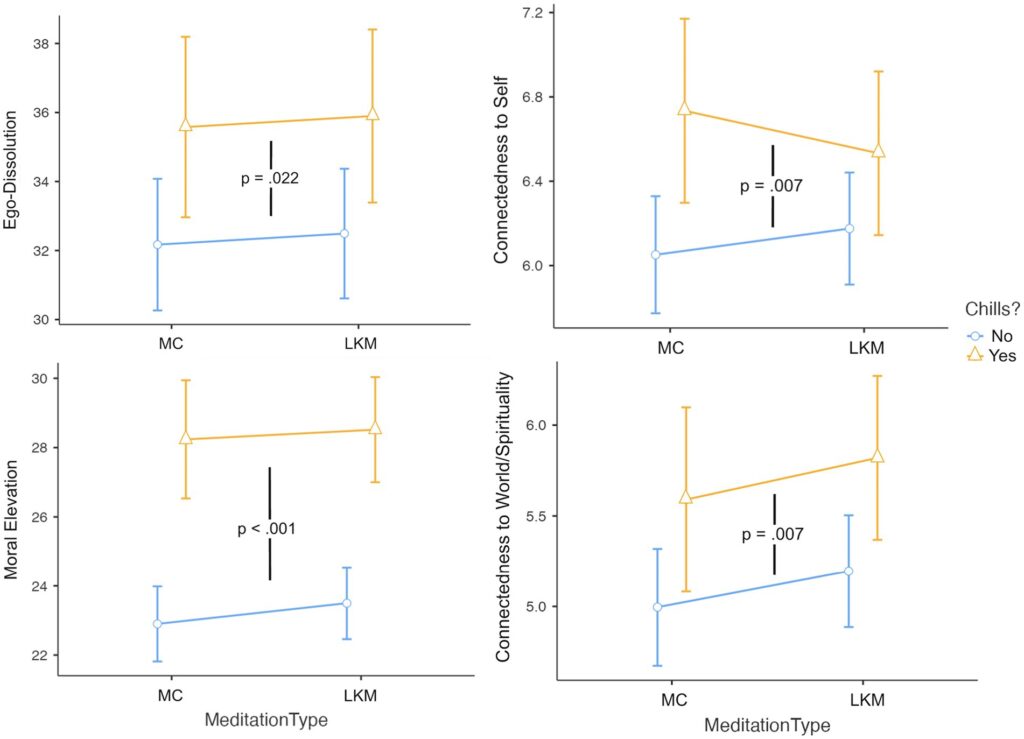
Mindfulness increased connection to the authentic self, while loving-kindness increased connection to others (p < .001).
Chills amplified outcomes: Where chills occurred, participants reported greater insight, emotional breakthrough, improved mood, self-transcendence, ego dissolution, and moral elevation.

The experience of chills significantly predicted increases in self-transcendence, i.e., ego-dissolution, connectedness to self and world/spirituality, and moral elevation, regardless of meditation type. These were not predicted by meditation type nor its interaction with chills augmentation and chills occurrence. Error bars represent 95% confidence intervals.
Chills were the mechanism: Mediation analyses showed that experiencing chills, not merely hearing music, predicted these effects.
Individual differences mattered:
Absorption predicted ego dissolution, moral elevation, and connection to the world
Interoceptive awareness predicted ego dissolution and self-connection
Vividness of internal imagery predicted connection to others and to the world
Meditation and peak experiences appear to operate near the brain’s edge of criticality, balancing stability and flexibility. Meditation provides regulatory structure; chills introduce brief windows of heightened plasticity and meaning-making. Neuroscience supports this account. Chills engage limbic reward systems alongside prefrontal regions involved in valuation and self-representation, bridging embodiment, affect, and cognition in precisely the way transformative insight requires. Recent work, presented at last year’s Organization for Human Brain Mapping meeting, showed that chills modulate the same measures of neural complexity as psychedelics, and that these changes mediate their downstream effects.
In upcoming work, we aim to:
- Verify behavioral impact, including generosity and symptom reduction in depression and anxiety
- Measure neural synergy, testing combined effects on neural complexity
- Build toward full emulation, integrating additional modalities—such as stroboscopic stimulation, binaural audio, and haptics—to induce psychedelic-like states without drugs or years of monastic training
The goal remains the same: to democratize access to transformative non-ordinary states, in the service of human flourishing.
Experience It Yourself
The meditations used in this study are publicly available:
Loving-Kindness Meditation (with chills music)
https://www.youtube.com/watch?v=Id-zXX7ac-o
Loving-Kindness Meditation (without music)
https://www.youtube.com/watch?v=R3i3sUywdTo
Mindfulness Meditation (with chills music)
https://www.youtube.com/watch?v=Nxjx6_zYX-4
Mindfulness Meditation (without music)
https://www.youtube.com/watch?v=CN-_zzHpcdM
We recommend using good headphones, a comfortable setting, and—if you have one—an eye mask to reduce visual distraction. Afterward, we’d genuinely love to hear about your experience.
Dive Deeper
Read the full study (open access):
Christov-Moore, L., Schoeller, F., Von Guttenberg, M., et al. (2026). Using chills-inducing music to augment self-transcendence, emotional breakthrough, and psychological insight during mindfulness and loving kindness meditation.
Frontiers in Psychology, 17:1589132
https://doi.org/10.3389/fpsyg.2026.1589132
Link: https://www.frontiersin.org/journals/psychology/articles/10.3389/fpsyg.2026.1589132/full
Explore the complete dataset:
https://osf.io/pn4c8/
Learn more about our work:
https://advancedconsciousness.org/
Follow our research:
Instagram: https://www.instagram.com/iacslab/
Read up on the growing NeuroPhenomenology Consortium:
Sensoria Substack:https://sensoriaresearch.substack.com/
We’re continuously recruiting participants for studies exploring the democratization and scaling of transformative non-ordinary states. To participate or receive updates, sign up at:
https://advancedconsciousness.org/
This work was supported by the Tiny Blue Dot Foundation and the YSF Innovation Fund. We’re deeply grateful to our co-authors Felix Schoeller, Mathilda Von Guttenberg, Tiffany Durinski, Mordechai Walder, Felipe A. Jain, Marco Iacoboni, and Nicco Reggente, as well as to the meditation teachers and therapists who helped refine the loving-kindness protocol.
The path to transformation doesn’t require years in a monastery or heroic doses of psychedelics. Sometimes it just requires the right combination of ancient wisdom, modern neuroscience, and a beautiful piece of music.